| 提交询价信息 |
| 发布紧急求购 |
价格:电议
所在地:山东 济南市
型号:QN-FS-5F
更新时间:2024-09-24
浏览次数:753
公司地址:山东省济南市
![]()
李女士(女士)
风速轮廓线测量仪
型号:QN-FS-5F
风速廓线仪又称风廓线仪,是指风速随高度的分布曲线,是风的重要特性之一。它受地形、层结稳定度、天气形势的影响,在铅直方向上呈不同的分布规律,有多种数学表达式。
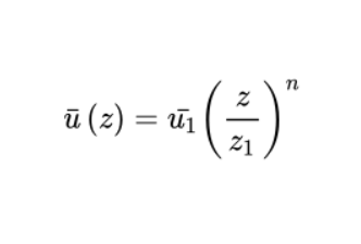
风速廓线仪是山东齐农信息科技有限公司自主生产,风速随高度的分布曲线。它受地形、层结稳定度、大型天气形势的影响,在铅直方向上呈不同的分布规律,有多种数学表达式。一般情况下,近地层风速廓线可用幂次律:
式中ū为平均风速;z为离地面高度;ū1为z1高度的平均风速;指数n随层结稳定度而定,中性层结n≃0.25,不稳定层结n较小,稳定层结n较大。
仪器分两种方式,一种便携式的,一种固定式的,安装仪器的主支架通常有圆柱杆和钢筋焊接的三角形桅杆塔两种,柱杆、铁塔以及其伸臂和支架对气流都将产生影响,原则上,仪器应伸出到远离塔身的迎风方向。许多大型的气象铁塔多在风洞中进行过模型实验,找出最佳的仪器安装方式。仪器受到最小干扰的方向为气流来向±30°的区间内,并向外伸出一定距离,伸出距离应超出杆柱或塔身尺寸的2~4倍,纵然如此,估计风速测量值仍可能偏低5%~7%。



风速轮廓线测量仪 风俗廓线仪 山东齐农
风速轮廓线测量仪 风俗廓线仪 山东齐农
风速轮廓线测量仪 风俗廓线仪 山东齐农
免责声明:以上所展示的[QN-FS-5F 风速轮廓线测量仪 风俗廓线仪 山东齐农]信息由会员[山东齐农信息科技有限公司]自行提供,内容的真实性、准确性和合法性由发布会员负责。