提交询价信息
发布紧急求购
您好,欢迎来到给览网!手机版|本站服务|添加收藏|帮助中心
您所在的位置: 给览网 » 供应 » 实验室常用设备 » 生物试剂 » PEG链接剂 小分子

PEG链接剂 小分子

杭州新乔生物科技有限公司
会员指数: 企业认证:

价格:电议

所在地:浙江 杭州市

型号:PEG链接剂

更新时间:2021-03-12

浏览次数:854

公司地址:杭州市余杭区星桥街道星桥北路171号

周经理(先生) 经理 

产品简介

小分子PEG链接剂,可用于修饰各类生物药物,通过正离子亲脂类脂质体纳米颗粒形成配方材料,将可能即时装载靶向分子、实现对任何药物的挂载,可为建立针对肿瘤患者的个性化治疗药物库提供成熟的技术支持。-00-3 N3-PEG8-NHS小分子链接剂

公司简介

 杭州新乔生物科技有限公司是浙江一家专业经营进口生化科研试剂的公司,产品服务于纳米靶向试剂、药物传递系统、点击化学等领域。
合作品牌:
公司目前和Avanti、cordenpharma、Matreya、nanocs、creative、laysan、Polypure、iris、Lumiprobe、Hampton Research、
Worthington、bioaustralis等多家公司建立业务合作关系,在国内提供这些品牌的产品及相关优质的服务。
经营产品:
公司主要经营产品有合成磷脂、PEG修饰磷脂、鞘氨醇、神经酰胺、鞘磷脂、糖鞘脂、磷脂酰肌醇、荧光活性染料、
蛋白质结晶工具、酶、微生物代谢试剂等。
展开

产品说明

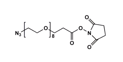
1204834-00-3 N3-PEG8-NHS小分子链接剂
1204834-00-3 N3-PEG8-NHS小分子链接剂
1204834-00-3 N3-PEG8-NHS小分子链接剂


N3-PEG8-NHS        1204834-00-3

产品名称:叠氮八聚乙二醇琥珀酰亚胺丙酸酯

英文名称:2,5-dioxopyrrolidin-1-yl 1-azido-3,6,9,12,15,18,21,24-octaoxaheptacosan-27-oate

英文别名:N3-PEG8-CH2CH2COonHS Ester

CAS:1204834-00-3

纯度:>95.00%

分子式:C23H40N4O12

分子量:564.58

状态:粘稠液体或白色固体

保存:避光,-18℃长期保存

结构式:

供应商:杭州新乔生物科技有限公司
杭州新乔生物科技有限公司是知名的PEG衍生试剂供应商,我公司可以提供各种高低分子PEG衍生物,分子量从200-20000不等,涉及十几个基团,同时我公司2016年新推出了单分散的小分子量PEG/PEO衍生物,PEG/PEO的重复单元从1个-24个不等,产品纯度高达98%以上。目前公司的PEG类产品 来源于十几个知名品牌和自己实验室生产的国产品牌PEG,我们跟知名实验室联合开发各种高附加值负责的PEG产品。
2016年我公司和实验室联合开发了包裹DBCO,DSPE和小分子量PEG/PEO衍生物等新产品上市.

杭州新乔生物科技有限公司提供的单分散短链小分子PEG试剂有以下特点:
1. Monodispersed PEGs链接各种不同基团,种类丰富,上齐全的PEG linkers
2. Monodispersed PEGs修饰物产品价格
3.产品质量好,纯度在95%以上
4. PEG个数从1个到24个不等 都可以提供
5.包装灵活,有100mg包装也有500mg  1克 和5克大包装
6.售后服务好,可货到付款,有任何质量问题可以退换货
7.接受各种复杂Monodispersed PEGs定制服务,合成的Monodispersed PEGs除了有更多样的基团 还可以提供各种不同数量的PEG的产品
8.可以提供核磁图谱及相关质量证明图谱


小分子PEG的CAS号大全:


H2N-PEG2-COOH     791028-27-8

H2N-PEG3-COOH     784105-33-5

H2N-PEG4-COOH     663921-15-1

H2N-PEG6-COOH     905954-28-1

H2N-PEG8-COOH     756526-04-2

MAL-PEG2-COOH    756525-98-1

MAL-PEG3-COOH    518044-40-1

MAL-PEG4-COOH    518044-41-2

MAL-PEG5-COOH    1286755-26-7

MAL-PEG6-COOH    518044-42-3

MAL-PEG8-COOH    1818294-46-0

HS-PEG4-COOH           749247-06-1

HS-PEG8-COOH           866889-02-3

HS-PEG12-COOH          1032347-93-5

MAL-PEG2-NHS     1433997-01-3

MAL-PEG3-NHS     1537892-36-6

MAL-PEG4-NHS     1325208-25-0

MAL-PEG5-NHS     1807537-42-3

MAL-PEG6-NHS     1599472-25-9

H2N-PEG3-OH            86770-74-3

H2N-PEG5-OH            34188-11-9

H2N-PEG6-OH            39160-70-8

H2N-PEG7-OH       1425973-14-3

H2N-PEG8-OH            352439-37-3

H2N-PEG12-OH          933789-97-0

N3-PEG2-NH2      166388-57-4

N3-PEG3-NH2      134179-38-7

N3-PEG4-NH2      951671-92-4

N3-PEG5-NH2      516493-93-9

N3-PEG6-NH2      957486-82-7

N3-PEG7-NH2      1333154-77-0

N3-PEG8-NH2      857891-82-8

N3-PEG10-NH2        912849-73-1

NH2-PEG10-NH2      928292-69-7

HOOC-PEG3-COOH    31127-85-2

HOOC-PEG4-COOH    439114-13-3

HOOC-PEG6-COOH    94376-75-7

HO-PEG6-COOH       1347750-85-9

HO-PEG8-COOH       937188-60-8

NH2-PEG8-NH2       822096-36-7

NH2-PEG3-NH2       929-75-9

NH2-PEG4-NH2       68960-97-4

NH2-PEG5-NH2       72236-26-1

mPEG3-SH           31521-83-2

mPEG4-SH           52190-55-3

mPEG6-SH           441771-60-4

mPEG8-SH           651042-83-0

mPEG9-SH           651042-84-1

mPEG10-SH          651042-85-2

mPEG3-COOH        67319-28-2

mPEG4-COOH        81836-43-3

mPEG6-COOH        874208-91-0

mPEG7-COOH        1093647-41-6

mPEG10-NH2         854601-60-8

mPEG12-NH2         869718-87-6

mPEG2-NH2          31576-51-9

mPEG3-NH2          74654-07-2

mPEG4-NH2          85030-56-4

mPEG6-NH2          5498-83-9

N3-PEG2-NHS        29885-96-9

N3-PEG3-NHS        1245718-89-1

N3-PEG4-NHS        944251-24-5

N3-PEG5-NHS        1433996-86-1

N3-PEG8-NHS        1204834-00-3

N3-PEG12-NHS       1610796-02-5

N3-PEG2-OH         139115-90-5

N3-PEG3-OH         86520-52-7

N3-PEG4-OH         86770-67-4

N3-PEG5-OH         86770-68-5

N3-PEG6-OH         86770-69-6

N3-PEG2-COOH      1312309-63-9

N3-PEG3-COOH      172531-37-2

N3-PEG4-COOH      1257063-35-6

N3-PEG5-COOH      1425973-16-5

N3-PEG6-COOH      361189-66-4

N3-PEG8-COOH      1214319-92-2

N3-PEG10-COOH       1644163-57-4

N3-PEG12-COOH       1167575-20-3

Biotin-PEG2-NH2       138529-46-1

Biotin-PEG3-NH2       359860-27-8

Biotin-PEG4-NH2       138529-46-1

Biotin-PEG5-NH2       113072-75-6

Biotin-PEG6-NH2       663171-32-2

Biotin-PEG7-NH2       1334172-76-7

Biotin-PEG2-COOH     1365655-89-5

Biotin-PEG3-COOH     252881-76-8

Biotin-PEG4-COOH     721431-18-1

Biotin-PEG6-COOH     1352814-10-8

Biotin-PEG12-COOH    1621423-14-0

Biotin-PEG3-NHS       596820-83-6

Biotin-PEG3-NHS      1253286-56-4

Biotin-PEG4-NHS      459426-22-3

Biotin-PEG12-NHS     365441-71-0

Biotin-PEG3-N3       945633-30-7

Biotin-PEG4-N3       875770-34-6

Biotin-PEG5-N3       1163732-89-5

Biotin-PEG7-N3       1334172-75-6

Biotin-PEG2-MAL     305372-39-8

Biotin-PEG3-MAL     1431618-70-0

Biotin-PEG6-MAL     1808990-66-0

Biotin-PEG4-Alkyne   1458576-00-5

Fluorescein-PEG4-Acid     1807518-76-8

Fluorescein-PEG3-Amine    1807539-04-3

Fluorescein-PEG2-Azide     1146195-72-3

Fluorescein-PEG3-(N-Boc)-Amine   1807534-77-5

Fluorescein-PEG6-NHS ester       1818294-35-7

TAMRA-PEG3-Azide    1228100-59-1

TAMRA-PEG4-Alkyne   1225057-68-0

Mal-PEG2-PFP         1807512-47-5

Mal-PEG3-PFP              1807534-78-6

Mal-PEG4-PFP        1415800-42-8

Mal-PEG5-PFP         1807512-46-4

Mal-PEG6-PFP             1599486-33-5

Azide-PEG3-Tos        178685-33-1

Azide-PEG4-Tos        236754-49-7

Azide-PEG5-Tos        236754-49-7

Hydroxy-PEG3-Tos          77544-68-4

Hydroxy-PEG4-Tos          77544-68-4

Hydroxy-PEG5-Tos          77544-60-6

Hydroxy-PEG6-Tos         155130-15-7

Propargyl-PEG4-Tos        875770-32-4

Propargyl-PEG5-Tos        875770-32-4

Azido-PEG2-Azide             1379365-47-5

Azido-PEG3-azide       101187-39-7

Azido-PEG4-Azide             182760-73-2

Azido-PEG5-Azide             356046-26-9

Bromo-PEG2-azide             530151-56-5

Bromo-PEG3-azide             940005-81-2

Bromo-PEG5-azide             1415800-37-1

Azido-PEG2-TFP ester    1807534-87-7

Azido-PEG3-TFP ester    1807540-76-6

Azido-PEG4-TFP ester    1807505-33-4

Azido-PEG5-TFP ester    1807505-31-2

Azido-PEG6-TFP ester    1818294-50-6

Azido-PEG8-TFP ester    1818294-49-3

Azido-PEG2-PFP ester    1393330-37-4

Azido-PEG3-PFP ester    1807530-07-9

Azido-PEG4-PFP ester    1353012-00-6

Azido-PEG5-PFP ester    1818294-48-2

Azido-PEG6-PFP ester    1818294-47-1

DBCO-PEG4-acid       1537170-85-6

DBCO-amine              1255942-06-3

DBCO-PEG4-amine      1255942-08-5

DBCO-PEG4-Biotin    1255942-07-4

DBCO-PEG4-Maleimide       1480516-75-3

DBCO-PEG4-NHS ester       1427004-19-0

DBCO-PEG5-NHS ester       1378531-80-6

DNP-PEG2-acid           1353011-89-8

DNP-PEG4-acid           858126-76-8

DNP-PEG6-acid          1817829-84-7

DNP-PEG4-NHS ester      858126-78-0

propargyl-PEG3-Acid       1347760-82-0

Propargyl-PEG4-acid       1415800-32-6

propargyl-PEG5-Acid       1245823-51-1

Propargyl-PEG2-amine     944561-44-8

Propargyl-PEG3-amine      932741-18-9

Propargyl-PEG4-amine     1013921-36-2

Propargyl-PEG5-amine     1589522-46-2

Propargyl-PEG6-amine     1198080-04-4

Propargyl-PEG3-azide          932741-18-9

Propargyl-PEG4-Maleimide     1609651-90-2

Propargyl-PEG3-NHS ester      1428629-71-3

Propargyl-PEG4-NHS ester      1428629-70-2

Propargyl-PEG5-NHS ester        1393330-40-9

Biotin-PEG2-Acid           1365655-89-5

Biotin-PEG3-acid            252881-76-8

Biotin-PEG4-Acid           721431-18-1

Biotin-PEG6-Acid           1352814-10-8

Biotin-PEG12-Acid            1621423-14-0

Biotin-PEG3-alcohol     1263044-40-1

Biotin-PEG4-alcohol     1778736-18-7

Biotin-PEG6-alcohol     906099-89-6

Biotin-PEG4-Alkyne     1458576-00-5

Biotin-PEG2-Amine          138529-46-1

Biotin-PEG3-Amine          359860-27-8

Biotin-PEG4-Amine          663171-32-2

Biotin-PEG5-Amine          113072-75-6

Biotin-PEG2-Azide

Biotin-PEG3-Azide           945633-30-7

Biotin-PEG4-Azide           875770-34-6

Biotin-PEG5-azide     1163732-89-5

Biotin-PEG7-Azide           1334172-75-6

DBCO-PEG4-Biotin    1255942-07-4

Biotin-PEG3-hydrazide    1381861-94-4

Bis-PEG2-acid             19364-66-0

Bis-PEG3-acid             96517-92-9

Bis-PEG4-acid             31127-85-2

Bis-PEG5-acid             439114-13-3

Bis-PEG7-acid             94376-75-7

Bis-PEG9-acid             1268488-70-5

Acid-PEG5-NHS ester          1343476-41-4

Bis-PEG2-NHS Ester           65869-63-8

Bis-PEG3-NHS Ester           1314378-16-9

Bis-PEG4-NHS ester            1314378-11-4

Bis-PEG5-NHS ester            756526-03-1

Bis-PEG6-NHS ester            1526718-98-8

Bis-PEG7-NHS ester            1334170-02-3

TCO-PEG4-Acid              1802913-21-8

TCO-PEG3-Maleimide     1609659-01-9

TCO-NHS ester             1191901-33-3

TCO-PEG4-NHS ester      1613439-69-2

Hydroxy-PEG2-acid         1334286-77-9

Hydroxy-PEG3-acid         518044-49-0

Hydroxy-PEG4-acid         937188-59-5

Hydroxy-PEG6-acid         1347750-85-9

Hydroxy-PEG8-t-butyl ester    937188-60-8

Amino-PEG3-alcohol       6338-55-2

Amino-PEG4-alcohol       86770-74-3

Amino-PEG5-alcohol           34188-11-9

Amino-PEG6-alcohol           39160-70-8

Amino-PEG7-alcohol           1425973-14-3

Amino-PEG8-alcohol           352439-37-3

Amino-PEG12-alcohol         933789-97-0

Methyltetrazine-PEG4-Acid        1802907-91-0

Methyltetrazine-PEG5-Alkyne      1802907-97-6

Methyltetrazine-PEG4-Amine       1802908-05-9

Biotin-PEG4-Methyltetrazine       1835759-81-3

Methyltetrazine-PEG4-Maleimide 1802908-02-6

Tetrazine-PEG5-NHS ester           1682653-80-0

Methyltetrazine-PEG5-NHS Ester 1802907-92-1

Thiol-PEG2-acid            1379649-73-6

Thiol-PEG3-acid            1347750-82-6

Thiol-PEG4-acid            749247-06-1

Thiol-PEG6-acid            1347750-77-9

Thiol-PEG8-acid            866889-02-3

Thiol-PEG12-acid             1032347-93-5

Thiol-PEG3-Alcohol         56282-36-1

Thiol-PEG4-Alcohol         90952-27-5

Bis-PEG3-thiol                2781-02-4

Bis-PEG5-thiol                 89141-22-0

Lipoamido-PEG4-acid          1314378-10-3

Lipoamido-PEG8-acid          1334172-70-1

Lipoamido-PEG2-alcohol      1674386-82-3

Lipoamido-PEG3-alcohol      1342764-64-0

Lipoamido-PEG3-Azide      890016-39-4

Lipoamide-PEG3-Mal           1314378-19-2

Biotin-PEG3-Lipoamide      1311963-67-3

SPDP-PEG3-acid              1334177-97-7

SPDP-PEG6-acid              1818294-33-5

SPDP-PEG6-NHS ester 1818294-32-4

Fmoc-N-amido-PEG2-acid           872679-70-4

Fmoc-N-amido-PEG3-acid           867062-95-1

Fmoc-N-amido-PEG4-acid           557756-85-1

Fmoc-N-amido-PEG5-acid           882847-32-7

Fmoc-N-amido-PEG6-acid           882847-34-9

Fmoc-N-amido-PEG8-acid           756526-02-0

Fmoc-N-amido-PEG9-acid           1191064-81-9

Fmoc-N-amido-PEG12-Acid 756526-01-9

Fmoc-NH-PEG2-CH2COOH 166108-71-0

Fmoc-NH-PEG3-CH2COOH 139338-72-0

Fmoc-NH-PEG4-CH2CO2H 437655-95-3

Fmoc-NH-PEG5-CH2COOH 635287-26-2

Fmoc-NH-PEG8-CH2COOH   868594-52-9

Fmoc-PEG4-NHS ester           1314378-14-7

Fmoc-PEG6-NHS ester          1818294-31-3

Fmoc-PEG8-NHS ester           1334170-03-4

t-Boc-N-amido-PEG2-acid           1365655-91-9

t-Boc-N-amido-PEG3-acid           1347750-75-7

t-Boc-N-amido-PEG4-acid           756525-91-4

t-Boc-N-amido-PEG5-acid           1347750-78-0

t-Boc-N-amido-PEG6-acid           882847-13-4

t-Boc-N-amido-PEG8-acid           1334169-93-5

t-Boc-N-amido-PEG12-acid       187848-68-6

t-Boc-N-amido-PEG2-Amine       153086-78-3

t-Boc-N-Amido-PEG3-Amine      101187-40-0

t-Boc-N-amido-PEG4-Amine       811442-84-9

t-boc-N-amido-PEG5-Amine 189209-27-6

t-Boc-N-amido-PEG6-Amine       1091627-77-8

t-boc-N-amido-PEG7-Amine 206265-98-7

t-Boc-N-amido-PEG9-Amine       890091-43-7

t-Boc-N-amido-PEG11-Amine      890091-42-6

t-Boc-N-Amido-PEG2-Azide       950683-55-3

t-Boc-N-Amido-PEG3-Azide       642091-68-7

t-Boc-N-Amido-PEG4-Azide       940951-99-5

t-boc-N-amido-PEG5-Azide        189209-27-6

Thiol-PEG2-t-butyl ester        1398044-50-2

Thiol-PEG3-t-butyl ester       1446282-39-8

Thiol-PEG4-t-butyl ester       564476-33-1

Thiol-PEG6-t-butyl ester       1818294-40-4

Propargyl-PEG4-Thiol        1314378-10-3

Lipoamido-PEG8-acid         1334172-70-1

Lipoamido-PEG3-Azide        890016-39-4

S-acetyl-PEG3-alcohol       153870-20-3

S-acetyl-PEG4-alcohol       223611-42-5

S-acetyl-PEG6-alcohol       1352221-63-6

S-acetyl-PEG8 alcohol       1334177-81-9

S-acetyl-PEG3-t-butyl ester    1818294-27-7

S-acetyl-PEG4-t-butyl ester    1818294-26-6

S-acetyl-PEG6-t-butyl ester    1818294-39-1

S-Acetyl-PEG3-Azido         1310827-26-9

S-acetyl-PEG6-Tos          1818294-25-5

Bromo-PEG2-phosphonic acid  1446282-44-5

Bromo-PEG3-phosphonic acid  1148026-99-6

Bromo-PEG5-phosphonic acid  1446282-37-6

Bromo-PEG2-phosphonic acid ethyl ester    1226767-94-7

Bromo-PEG3-phosphonic acid ethyl ester  1148026-98-5

Bromo-PEG5-phosphonic acid ethyl ester  1446282-41-2

Bis-PEG2-PFP ester         1314378-18-1

Bis-PEG3-PFP ester         1314378-13-6

Bis-PEG4-PFP ester         1314378-12-5

Bis-PEG5-PFP ester         1334177-78-4

Bis-PEG7-PFP ester         1334170-01-2

Bis-PEG9-PFP ester         1334170-00-1

Bis-PEG13-PFP ester        1383567-59-6

Hydroxy-PEG2-acid         1334286-77-9

Hydroxy-PEG3-acid         518044-49-0

Hydroxy-PEG4-acid         937188-59-5

Hydroxy-PEG6-acid         1347750-85-9

Hydroxy-PEG8-acid         937188-60-8

Hydroxy-PEG3-NHS         1807518-71-3

Hydroxy-PEG3-PFP ester     1807537-40-1

PEG5-Tos                 77544-60-6

PEG7-Tos                  42749-28-0

Hydroxy-PEG2-sulfonic acid    112724-27-3

Hydroxy-PEG3-sulfonic acid    173459-90-0

Hydroxy-PEG2-t-butyl ester    133803-81-3

Hydroxy-PEG3-t-butyl ester    186020-66-6

Hydroxy-PEG-4-t-butyl ester   518044-32-1

Hydroxy-PEG-5-t-butyl ester   850090-09-4

Hydroxy-PEG6-t-butyl ester    361189-64-2

Hydroxy-PEG8-t-butyl ester    1334177-84-2

Hydroxy-PEG10-t-butyl ester   778596-26-2

Hydroxy-PEG12-t-butyl ester   892154-71-1

Hydroxy-PEG2-CH2CO2t-Bu      149299-82-1

Bromo-PEG6-alcohol           136399-05-8

Bromo-PEG4 alcohol           85141-94-2




本页产品地址:http://www.geilan.com/sell/show-8006581.html
免责声明:以上所展示的[PEG链接剂 小分子]信息由会员[杭州新乔生物科技有限公司]自行提供,内容的真实性、准确性和合法性由发布会员负责。
[给览网]对此不承担任何责任。
友情提醒:为规避购买风险,建议您在购买相关产品前务必确认供应商资质及产品质量!

发布询价单

没有合适的产品?是否在线询价?
询价标题
联系人
电话
主要内容
验证码