提交询价信息
发布紧急求购
您好,欢迎来到给览网!手机版|本站服务|添加收藏|帮助中心
您所在的位置: 给览网 » 供应 » 实验室常用设备 » 生物试剂 » PEG链接剂 小分子PEG

PEG链接剂 小分子PEG

杭州新乔生物科技有限公司
会员指数: 企业认证:

价格:电议

所在地:浙江 杭州市

型号:PEG链接剂

更新时间:2021-03-17

浏览次数:1423

公司地址:杭州市余杭区星桥街道星桥北路171号

周经理(先生) 经理 

产品简介

小分子PEG链接剂,可用于修饰各类生物药物,通过正离子亲脂类脂质体纳米颗粒形成配方材料,将可能即时装载靶向分子、实现对任何药物的挂载,可为建立针对肿瘤患者的个性化治疗药物库提供成熟的技术支持。134179-38-7 N3-PEG3-NH2 小分子PEG

公司简介

 杭州新乔生物科技有限公司是浙江一家专业经营进口生化科研试剂的公司,产品服务于纳米靶向试剂、药物传递系统、点击化学等领域。
合作品牌:
公司目前和Avanti、cordenpharma、Matreya、nanocs、creative、laysan、Polypure、iris、Lumiprobe、Hampton Research、
Worthington、bioaustralis等多家公司建立业务合作关系,在国内提供这些品牌的产品及相关优质的服务。
经营产品:
公司主要经营产品有合成磷脂、PEG修饰磷脂、鞘氨醇、神经酰胺、鞘磷脂、糖鞘脂、磷脂酰肌醇、荧光活性染料、
蛋白质结晶工具、酶、微生物代谢试剂等。
展开

产品说明

134179-38-7 N3-PEG3-NH2 小分子PEG
134179-38-7 N3-PEG3-NH2 小分子PEG
134179-38-7 N3-PEG3-NH2 小分子PEG
杭州新乔生物科技有限公司是知名的PEG衍生试剂供应商,我公司可以提供各种高低分子PEG衍生物,分子量从200-20000不等,涉及十几个基团,同时我公司2016年新推出了单分散的小分子量PEG/PEO衍生物,PEG/PEO的重复单元从1个-24个不等,产品纯度高达98%以上。目前公司的PEG类产品 来源于十几个知名品牌和自己实验室生产的国产品牌PEG,我们跟知名实验室联合开发各种高附加值负责的PEG产品。
2016年我公司和实验室联合开发了包裹DBCO,DSPE和小分子量PEG/PEO衍生物等新产品上市.

杭州新乔生物科技有限公司提供的单分散短链小分子PEG试剂有以下特点:
1. Monodispersed PEGs链接各种不同基团,种类丰富,上齐全的PEG linkers
2. Monodispersed PEGs修饰物产品价格
3.产品质量好,纯度在95%以上
4. PEG个数从1个到24个不等 都可以提供
5.包装灵活,有100mg包装也有500mg 1克 和5克大包装
6.售后服务好,可货到付款,有任何质量问题可以退换货
7.接受各种复杂Monodispersed PEGs定制服务,合成的Monodispersed PEGs除了有更多样的基团 还可以提供各种不同数量的PEG的产品
8.可以提供核磁图谱及相关质量证明图谱

想了解更多产品 请联系我们公司。
公司:杭州新乔生物科技有限公司
销售经理:周经理
():
Q Q:82705627
我们还提供特殊PEG产品的定制服务。

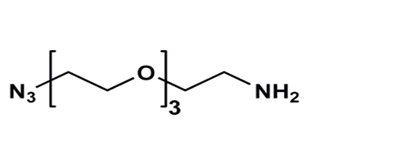
产品名称1-氨基-11-叠氮-3,6,9-三氧杂十一烷

英文名称:11-Azido-3,6,9-trioxaundecan-1-amine

英文别名:N3-PEG3-CH2CH2NH2,Azido-PEG3-Amine;Amino-PEG3-Azide;

2-[2-[2-(2-azidoethoxy)ethoxy]ethoxy]ethanamine;1-Amino-11-azido-3,6,9-trioxaundecane;11-Amino-3,6,9-trioxaundecanyl Azide;

CAS:134179-38-7

纯度:>95.00%

分子式:C8H18N4O3

分子量:218.26

状态:无色或淡黄色液体

保存:避光,-18℃长期保存

结构式:

供应商:杭州新乔生物科技有限公司

Biotin-PEG2-NH2 138529-46-1

Biotin-PEG3-NH2 359860-27-8

Biotin-PEG4-NH2 138529-46-1

Biotin-PEG5-NH2 113072-75-6

Biotin-PEG6-NH2 663171-32-2

Biotin-PEG7-NH2 1334172-76-7
N3-PEG2-NH2 166388-57-4

N3-PEG3-NH2 134179-38-7

N3-PEG4-NH2 951671-92-4

N3-PEG5-NH2 516493-93-9

N3-PEG6-NH2 957486-82-7

N3-PEG7-NH2 1333154-77-0

N3-PEG8-NH2 857891-82-8

N3-PEG10-NH2 912849-73-1

NH2-PEG10-NH2 928292-69-7




本页产品地址:http://www.geilan.com/sell/show-8006313.html
免责声明:以上所展示的[PEG链接剂 小分子PEG]信息由会员[杭州新乔生物科技有限公司]自行提供,内容的真实性、准确性和合法性由发布会员负责。
[给览网]对此不承担任何责任。
友情提醒:为规避购买风险,建议您在购买相关产品前务必确认供应商资质及产品质量!

发布询价单

没有合适的产品?是否在线询价?
询价标题
联系人
电话
主要内容
验证码