提交询价信息
发布紧急求购
您好,欢迎来到给览网!手机版|本站服务|添加收藏|帮助中心
您所在的位置: 给览网 » 供应 » 实验室常用设备 » 生物试剂 » PEG链接剂 小分子

PEG链接剂 小分子

杭州新乔生物科技有限公司
会员指数: 企业认证:

价格:电议

所在地:浙江 杭州市

型号:PEG链接剂

更新时间:2021-03-12

浏览次数:746

公司地址:杭州市余杭区星桥街道星桥北路171号

周经理(先生) 经理 

产品简介

小分子PEG链接剂,可用于修饰各类生物药物,通过正离子亲脂类脂质体纳米颗粒形成配方材料,将可能即时装载靶向分子、实现对任何药物的挂载,可为建立针对肿瘤患者的个性化治疗药物库提供成熟的技术支持。-89-1 N3-PEG3-NHS小分子

公司简介

 杭州新乔生物科技有限公司是浙江一家专业经营进口生化科研试剂的公司,产品服务于纳米靶向试剂、药物传递系统、点击化学等领域。
合作品牌:
公司目前和Avanti、cordenpharma、Matreya、nanocs、creative、laysan、Polypure、iris、Lumiprobe、Hampton Research、
Worthington、bioaustralis等多家公司建立业务合作关系,在国内提供这些品牌的产品及相关优质的服务。
经营产品:
公司主要经营产品有合成磷脂、PEG修饰磷脂、鞘氨醇、神经酰胺、鞘磷脂、糖鞘脂、磷脂酰肌醇、荧光活性染料、
蛋白质结晶工具、酶、微生物代谢试剂等。
展开

产品说明

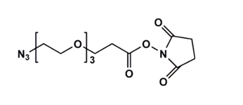
1245718-89-1 N3-PEG3-NHS小分子
1245718-89-1 N3-PEG3-NHS小分子

N3-PEG3-NHS 1245718-89-1

产品名称:叠氮三聚乙二醇琥珀酰亚胺丙酸酯

英文名称:N3-PEG3-CH2CH2COonHS Ester

CAS:1245718-89-1

纯度:>95.00%

分子式:C13H20N4O7

分子量:344.32

状态:无色液体

保存:避光,-18℃长期保存

结构式:

供应商:杭州新乔生物科技有限公司
杭州新乔生物科技有限公司是知名的PEG衍生试剂供应商,我公司可以提供各种高低分子PEG衍生物,分子量从200-20000不等,涉及十几个基团,同时我公司2016年新推出了单分散的小分子量PEG/PEO衍生物,PEG/PEO的重复单元从1个-24个不等,产品纯度高达98%以上。目前公司的PEG类产品 来源于十几个知名品牌和自己实验室生产的国产品牌PEG,我们跟知名实验室联合开发各种高附加值负责的PEG产品。
2016年我公司和实验室联合开发了包裹DBCO,DSPE和小分子量PEG/PEO衍生物等新产品上市.

杭州新乔生物科技有限公司提供的单分散短链小分子PEG试剂有以下特点:
1. Monodispersed PEGs链接各种不同基团,种类丰富,上齐全的PEG linkers
2. Monodispersed PEGs修饰物产品价格
3.产品质量好,纯度在95%以上
4. PEG个数从1个到24个不等 都可以提供
5.包装灵活,有100mg包装也有500mg 1克 和5克大包装
6.售后服务好,可货到付款,有任何质量问题可以退换货
7.接受各种复杂Monodispersed PEGs定制服务,合成的Monodispersed PEGs除了有更多样的基团 还可以提供各种不同数量的PEG的产品
8.可以提供核磁图谱及相关质量证明图谱

想了解更多产品 请联系我们公司。
公司:杭州新乔生物科技有限公司
销售经理:周经理
():
Q Q:82705627
我们还提供特殊PEG产品的定制服务。

H2N-PEG2-COOH 791028-27-8

H2N-PEG3-COOH 784105-33-5

H2N-PEG4-COOH 663921-15-1

H2N-PEG6-COOH 905954-28-1

H2N-PEG8-COOH 756526-04-2

MAL-PEG2-COOH 756525-98-1

MAL-PEG3-COOH 518044-40-1

MAL-PEG4-COOH 518044-41-2

MAL-PEG5-COOH 1286755-26-7

MAL-PEG6-COOH 518044-42-3

MAL-PEG8-COOH 1818294-46-0

HS-PEG4-COOH 749247-06-1

HS-PEG8-COOH 866889-02-3

HS-PEG12-COOH 1032347-93-5

MAL-PEG2-NHS 1433997-01-3

MAL-PEG3-NHS 1537892-36-6

MAL-PEG4-NHS 1325208-25-0

MAL-PEG5-NHS 1807537-42-3

MAL-PEG6-NHS 1599472-25-9

H2N-PEG3-OH 86770-74-3

H2N-PEG5-OH 34188-11-9

H2N-PEG6-OH 39160-70-8

H2N-PEG7-OH 1425973-14-3

H2N-PEG8-OH 352439-37-3

H2N-PEG12-OH 933789-97-0

N3-PEG2-NH2 166388-57-4

N3-PEG3-NH2 134179-38-7

N3-PEG4-NH2 951671-92-4

N3-PEG5-NH2 516493-93-9

N3-PEG6-NH2 957486-82-7

N3-PEG7-NH2 1333154-77-0

N3-PEG8-NH2 857891-82-8

N3-PEG10-NH2 912849-73-1

NH2-PEG10-NH2 928292-69-7

HOOC-PEG3-COOH 31127-85-2

HOOC-PEG4-COOH 439114-13-3

HOOC-PEG6-COOH 94376-75-7

HO-PEG6-COOH 1347750-85-9

HO-PEG8-COOH 937188-60-8

NH2-PEG8-NH2 822096-36-7

NH2-PEG3-NH2 929-75-9

NH2-PEG4-NH2 68960-97-4

NH2-PEG5-NH2 72236-26-1

mPEG3-SH 31521-83-2

mPEG4-SH 52190-55-3

mPEG6-SH 441771-60-4

mPEG8-SH 651042-83-0

mPEG9-SH 651042-84-1

mPEG10-SH 651042-85-2

mPEG3-COOH 67319-28-2

mPEG4-COOH 81836-43-3

mPEG6-COOH 874208-91-0

mPEG7-COOH 1093647-41-6

mPEG10-NH2 854601-60-8

mPEG12-NH2 869718-87-6

mPEG2-NH2 31576-51-9

mPEG3-NH2 74654-07-2

mPEG4-NH2 85030-56-4

mPEG6-NH2 5498-83-9

N3-PEG2-NHS 29885-96-9

N3-PEG3-NHS 1245718-89-1

N3-PEG4-NHS 944251-24-5

N3-PEG5-NHS 1433996-86-1

N3-PEG8-NHS 1204834-00-3

N3-PEG12-NHS 1610796-02-5

N3-PEG2-OH 139115-90-5

N3-PEG3-OH 86520-52-7

N3-PEG4-OH 86770-67-4

N3-PEG5-OH 86770-68-5

N3-PEG6-OH 86770-69-6

N3-PEG2-COOH 1312309-63-9

N3-PEG3-COOH 172531-37-2

N3-PEG4-COOH 1257063-35-6

N3-PEG5-COOH 1425973-16-5

N3-PEG6-COOH 361189-66-4

N3-PEG8-COOH 1214319-92-2

N3-PEG10-COOH 1644163-57-4

N3-PEG12-COOH 1167575-20-3

Biotin-PEG2-NH2 138529-46-1

Biotin-PEG3-NH2 359860-27-8

Biotin-PEG4-NH2 138529-46-1

Biotin-PEG5-NH2 113072-75-6

Biotin-PEG6-NH2 663171-32-2

Biotin-PEG7-NH2 1334172-76-7

Biotin-PEG2-COOH 1365655-89-5

Biotin-PEG3-COOH 252881-76-8

Biotin-PEG4-COOH 721431-18-1

Biotin-PEG6-COOH 1352814-10-8

Biotin-PEG12-COOH 1621423-14-0

Biotin-PEG3-NHS 596820-83-6

Biotin-PEG3-NHS 1253286-56-4

Biotin-PEG4-NHS 459426-22-3

Biotin-PEG12-NHS 365441-71-0

Biotin-PEG3-N3 945633-30-7

Biotin-PEG4-N3 875770-34-6

Biotin-PEG5-N3 1163732-89-5

Biotin-PEG7-N3 1334172-75-6

Biotin-PEG2-MAL 305372-39-8

Biotin-PEG3-MAL 1431618-70-0

Biotin-PEG6-MAL 1808990-66-0

Biotin-PEG4-Alkyne 1458576-00-5

Fluorescein-PEG4-Acid 1807518-76-8

Fluorescein-PEG3-Amine 1807539-04-3

Fluorescein-PEG2-Azide 1146195-72-3

Fluorescein-PEG3-(N-Boc)-Amine 1807534-77-5

Fluorescein-PEG6-NHS ester 1818294-35-7

TAMRA-PEG3-Azide 1228100-59-1

TAMRA-PEG4-Alkyne 1225057-68-0

Mal-PEG2-PFP 1807512-47-5

Mal-PEG3-PFP 1807534-78-6

Mal-PEG4-PFP 1415800-42-8

Mal-PEG5-PFP 1807512-46-4

Mal-PEG6-PFP 1599486-33-5

Azide-PEG3-Tos 178685-33-1

Azide-PEG4-Tos 236754-49-7

Azide-PEG5-Tos 236754-49-7

Hydroxy-PEG3-Tos 77544-68-4

Hydroxy-PEG4-Tos 77544-68-4

Hydroxy-PEG5-Tos 77544-60-6

Hydroxy-PEG6-Tos 155130-15-7

Propargyl-PEG4-Tos 875770-32-4

Propargyl-PEG5-Tos 875770-32-4

Azido-PEG2-Azide 1379365-47-5

Azido-PEG3-azide 101187-39-7

Azido-PEG4-Azide 182760-73-2

Azido-PEG5-Azide 356046-26-9

Bromo-PEG2-azide 530151-56-5

Bromo-PEG3-azide 940005-81-2

Bromo-PEG5-azide 1415800-37-1

Azido-PEG2-TFP ester 1807534-87-7

Azido-PEG3-TFP ester 1807540-76-6

Azido-PEG4-TFP ester 1807505-33-4

Azido-PEG5-TFP ester 1807505-31-2

Azido-PEG6-TFP ester 1818294-50-6

Azido-PEG8-TFP ester 1818294-49-3

Azido-PEG2-PFP ester 1393330-37-4

Azido-PEG3-PFP ester 1807530-07-9

Azido-PEG4-PFP ester 1353012-00-6

Azido-PEG5-PFP ester 1818294-48-2

Azido-PEG6-PFP ester 1818294-47-1

DBCO-PEG4-acid 1537170-85-6

DBCO-amine 1255942-06-3

DBCO-PEG4-amine 1255942-08-5

DBCO-PEG4-Biotin 1255942-07-4

DBCO-PEG4-Maleimide 1480516-75-3

DBCO-PEG4-NHS ester 1427004-19-0

DBCO-PEG5-NHS ester 1378531-80-6

DNP-PEG2-acid 1353011-89-8

DNP-PEG4-acid 858126-76-8

DNP-PEG6-acid 1817829-84-7

DNP-PEG4-NHS ester 858126-78-0

propargyl-PEG3-Acid 1347760-82-0

Propargyl-PEG4-acid 1415800-32-6

propargyl-PEG5-Acid 1245823-51-1

Propargyl-PEG2-amine 944561-44-8

Propargyl-PEG3-amine 932741-18-9

Propargyl-PEG4-amine 1013921-36-2

Propargyl-PEG5-amine 1589522-46-2

Propargyl-PEG6-amine 1198080-04-4

Propargyl-PEG3-azide 932741-18-9

Propargyl-PEG4-Maleimide 1609651-90-2

Propargyl-PEG3-NHS ester 1428629-71-3

Propargyl-PEG4-NHS ester 1428629-70-2

Propargyl-PEG5-NHS ester 1393330-40-9

Biotin-PEG2-Acid 1365655-89-5

Biotin-PEG3-acid 252881-76-8

Biotin-PEG4-Acid 721431-18-1

Biotin-PEG6-Acid 1352814-10-8

Biotin-PEG12-Acid 1621423-14-0

Biotin-PEG3-alcohol 1263044-40-1

Biotin-PEG4-alcohol 1778736-18-7

Biotin-PEG6-alcohol 906099-89-6

Biotin-PEG4-Alkyne 1458576-00-5

Biotin-PEG2-Amine 138529-46-1

Biotin-PEG3-Amine 359860-27-8

Biotin-PEG4-Amine 663171-32-2

Biotin-PEG5-Amine 113072-75-6

Biotin-PEG2-Azide

Biotin-PEG3-Azide 945633-30-7

Biotin-PEG4-Azide 875770-34-6

Biotin-PEG5-azide 1163732-89-5

Biotin-PEG7-Azide 1334172-75-6

DBCO-PEG4-Biotin 1255942-07-4

Biotin-PEG3-hydrazide 1381861-94-4

Bis-PEG2-acid 19364-66-0

Bis-PEG3-acid 96517-92-9

Bis-PEG4-acid 31127-85-2

Bis-PEG5-acid 439114-13-3

Bis-PEG7-acid 94376-75-7

Bis-PEG9-acid 1268488-70-5

Acid-PEG5-NHS ester 1343476-41-4

Bis-PEG2-NHS Ester 65869-63-8

Bis-PEG3-NHS Ester 1314378-16-9

Bis-PEG4-NHS ester 1314378-11-4

Bis-PEG5-NHS ester 756526-03-1

Bis-PEG6-NHS ester 1526718-98-8

Bis-PEG7-NHS ester 1334170-02-3

TCO-PEG4-Acid 1802913-21-8

TCO-PEG3-Maleimide 1609659-01-9

TCO-NHS ester 1191901-33-3

TCO-PEG4-NHS ester 1613439-69-2

Hydroxy-PEG2-acid 1334286-77-9

Hydroxy-PEG3-acid 518044-49-0

Hydroxy-PEG4-acid 937188-59-5

Hydroxy-PEG6-acid 1347750-85-9

Hydroxy-PEG8-t-butyl ester 937188-60-8

Amino-PEG3-alcohol 6338-55-2

Amino-PEG4-alcohol 86770-74-3

Amino-PEG5-alcohol 34188-11-9

Amino-PEG6-alcohol 39160-70-8

Amino-PEG7-alcohol 1425973-14-3

Amino-PEG8-alcohol 352439-37-3

Amino-PEG12-alcohol 933789-97-0

Methyltetrazine-PEG4-Acid 1802907-91-0

Methyltetrazine-PEG5-Alkyne 1802907-97-6

Methyltetrazine-PEG4-Amine 1802908-05-9

Biotin-PEG4-Methyltetrazine 1835759-81-3

Methyltetrazine-PEG4-Maleimide 1802908-02-6

Tetrazine-PEG5-NHS ester 1682653-80-0

Methyltetrazine-PEG5-NHS Ester 1802907-92-1

Thiol-PEG2-acid 1379649-73-6

Thiol-PEG3-acid 1347750-82-6

Thiol-PEG4-acid 749247-06-1

Thiol-PEG6-acid 1347750-77-9

Thiol-PEG8-acid 866889-02-3

Thiol-PEG12-acid 1032347-93-5

Thiol-PEG3-Alcohol 56282-36-1

Thiol-PEG4-Alcohol 90952-27-5

Bis-PEG3-thiol 2781-02-4

Bis-PEG5-thiol 89141-22-0

Lipoamido-PEG4-acid 1314378-10-3

Lipoamido-PEG8-acid 1334172-70-1

Lipoamido-PEG2-alcohol 1674386-82-3

Lipoamido-PEG3-alcohol 1342764-64-0

Lipoamido-PEG3-Azide 890016-39-4

Lipoamide-PEG3-Mal 1314378-19-2

Biotin-PEG3-Lipoamide 1311963-67-3

SPDP-PEG3-acid 1334177-97-7

SPDP-PEG6-acid 1818294-33-5

SPDP-PEG6-NHS ester 1818294-32-4

Fmoc-N-amido-PEG2-acid 872679-70-4

Fmoc-N-amido-PEG3-acid 867062-95-1

Fmoc-N-amido-PEG4-acid 557756-85-1

Fmoc-N-amido-PEG5-acid 882847-32-7

Fmoc-N-amido-PEG6-acid 882847-34-9

Fmoc-N-amido-PEG8-acid 756526-02-0

Fmoc-N-amido-PEG9-acid 1191064-81-9

Fmoc-N-amido-PEG12-Acid 756526-01-9

Fmoc-NH-PEG2-CH2COOH 166108-71-0

Fmoc-NH-PEG3-CH2COOH 139338-72-0

Fmoc-NH-PEG4-CH2CO2H 437655-95-3

Fmoc-NH-PEG5-CH2COOH 635287-26-2

Fmoc-NH-PEG8-CH2COOH 868594-52-9

Fmoc-PEG4-NHS ester 1314378-14-7

Fmoc-PEG6-NHS ester 1818294-31-3

Fmoc-PEG8-NHS ester 1334170-03-4

t-Boc-N-amido-PEG2-acid 1365655-91-9

t-Boc-N-amido-PEG3-acid 1347750-75-7

t-Boc-N-amido-PEG4-acid 756525-91-4

t-Boc-N-amido-PEG5-acid 1347750-78-0

t-Boc-N-amido-PEG6-acid 882847-13-4

t-Boc-N-amido-PEG8-acid 1334169-93-5

t-Boc-N-amido-PEG12-acid 187848-68-6

t-Boc-N-amido-PEG2-Amine 153086-78-3

t-Boc-N-Amido-PEG3-Amine 101187-40-0

t-Boc-N-amido-PEG4-Amine 811442-84-9

t-boc-N-amido-PEG5-Amine 189209-27-6

t-Boc-N-amido-PEG6-Amine 1091627-77-8

t-boc-N-amido-PEG7-Amine 206265-98-7

t-Boc-N-amido-PEG9-Amine 890091-43-7

t-Boc-N-amido-PEG11-Amine 890091-42-6

t-Boc-N-Amido-PEG2-Azide 950683-55-3

t-Boc-N-Amido-PEG3-Azide 642091-68-7

t-Boc-N-Amido-PEG4-Azide 940951-99-5

t-boc-N-amido-PEG5-Azide 189209-27-6

Thiol-PEG2-t-butyl ester 1398044-50-2

Thiol-PEG3-t-butyl ester 1446282-39-8

Thiol-PEG4-t-butyl ester 564476-33-1

Thiol-PEG6-t-butyl ester 1818294-40-4

Propargyl-PEG4-Thiol 1314378-10-3

Lipoamido-PEG8-acid 1334172-70-1

Lipoamido-PEG3-Azide 890016-39-4

S-acetyl-PEG3-alcohol 153870-20-3

S-acetyl-PEG4-alcohol 223611-42-5

S-acetyl-PEG6-alcohol 1352221-63-6

S-acetyl-PEG8 alcohol 1334177-81-9

S-acetyl-PEG3-t-butyl ester 1818294-27-7

S-acetyl-PEG4-t-butyl ester 1818294-26-6

S-acetyl-PEG6-t-butyl ester 1818294-39-1

S-Acetyl-PEG3-Azido 1310827-26-9

S-acetyl-PEG6-Tos 1818294-25-5

Bromo-PEG2-phosphonic acid 1446282-44-5

Bromo-PEG3-phosphonic acid 1148026-99-6

Bromo-PEG5-phosphonic acid 1446282-37-6

Bromo-PEG2-phosphonic acid ethyl ester 1226767-94-7

Bromo-PEG3-phosphonic acid ethyl ester 1148026-98-5

Bromo-PEG5-phosphonic acid ethyl ester 1446282-41-2

Bis-PEG2-PFP ester 1314378-18-1

Bis-PEG3-PFP ester 1314378-13-6

Bis-PEG4-PFP ester 1314378-12-5

Bis-PEG5-PFP ester 1334177-78-4

Bis-PEG7-PFP ester 1334170-01-2

Bis-PEG9-PFP ester 1334170-00-1

Bis-PEG13-PFP ester 1383567-59-6

Hydroxy-PEG2-acid 1334286-77-9

Hydroxy-PEG3-acid 518044-49-0

Hydroxy-PEG4-acid 937188-59-5

Hydroxy-PEG6-acid 1347750-85-9

Hydroxy-PEG8-acid 937188-60-8

Hydroxy-PEG3-NHS 1807518-71-3

Hydroxy-PEG3-PFP ester 1807537-40-1

PEG5-Tos 77544-60-6

PEG7-Tos 42749-28-0

Hydroxy-PEG2-sulfonic acid 112724-27-3

Hydroxy-PEG3-sulfonic acid 173459-90-0

Hydroxy-PEG2-t-butyl ester 133803-81-3

Hydroxy-PEG3-t-butyl ester 186020-66-6

Hydroxy-PEG-4-t-butyl ester 518044-32-1

Hydroxy-PEG-5-t-butyl ester 850090-09-4

Hydroxy-PEG6-t-butyl ester 361189-64-2

Hydroxy-PEG8-t-butyl ester 1334177-84-2

Hydroxy-PEG10-t-butyl ester 778596-26-2

Hydroxy-PEG12-t-butyl ester 892154-71-1

Hydroxy-PEG2-CH2CO2t-Bu 149299-82-1

Bromo-PEG6-alcohol 136399-05-8

Bromo-PEG4 alcohol 85141-94-2



本页产品地址:http://www.geilan.com/sell/show-8006547.html
免责声明:以上所展示的[PEG链接剂 小分子]信息由会员[杭州新乔生物科技有限公司]自行提供,内容的真实性、准确性和合法性由发布会员负责。
[给览网]对此不承担任何责任。
友情提醒:为规避购买风险,建议您在购买相关产品前务必确认供应商资质及产品质量!

发布询价单

没有合适的产品?是否在线询价?
询价标题
联系人
电话
主要内容
验证码