| 提交询价信息 |
| 发布紧急求购 |
价格:电议
所在地:广东 深圳市
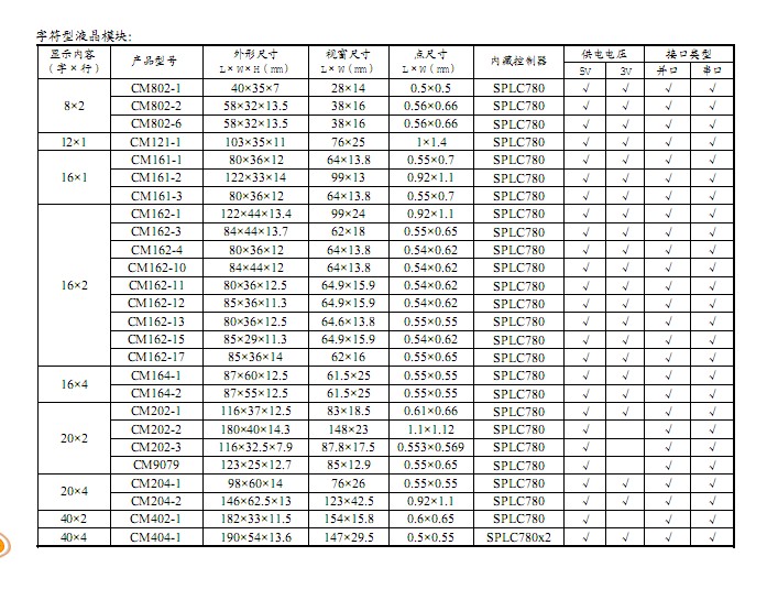
型号:cm162-4
更新时间:2015-06-19
浏览次数:2198
公司地址:深圳市宝安72区留仙洞工业区顺和达厂区2栋东六楼
![]()
陈建镇(先生) 业务经理
【深圳彩晶】 模块基本参数:
字符类 CM162-4
显示内容(字数*行):16 X 2
外形尺寸/mm(L*W*H): 80 x 36 x 12
视域尺寸/mm:61.5 x 26
点尺寸/mm:0.55 x 0.55
控制器: SPLC780D
电压:3.3V或5.0V
背光特征:LED背光(黄绿色、白色)可选
显式模式: 黄绿膜、蓝底白字、白底黑字,可选
工作温度:(Ta)0℃~60℃(常温),-20℃~70℃(宽温)
本规格的产品可串口/并口
显示内容为2行,每行显示16个字符,每个字符大小为5×8点阵。
字符发生器RAM可根据客户需求, 订做中日文、俄文等12种不同的字符。
字符型液晶显示模块是专门用于显示字母、数字、符号等的点阵型液晶显示模块。分4位和8位数据传输方式。提供5×7点阵+光标的显示模式。提供显示数据缓冲区符发生器CGRAM,可以使用CGRAM来存储自己定义的多8个5×8点阵的图形字符的字模数据。提供了丰富的指令设置:清显示;光标回原点;显示开/关;光标开/关;显示字符闪烁;光标移位;显示移位等。提供内部上电自动复位电路,当外加电源电压超过+4.5V时,自动对模块进行初始化操作,将模块设置为默认的显示工作状态。
若你觉的以上产品,无法满足您的要求;请直接与我联系有些产品型号和模块尺寸没发布,谢谢!http://www.cj86.com

免责声明:以上所展示的[cm162-4 液晶模块]信息由会员[深圳市彩晶科技有限公司]自行提供,内容的真实性、准确性和合法性由发布会员负责。