提交询价信息
发布紧急求购
您好,欢迎来到给览网!手机版|本站服务|添加收藏|帮助中心
您所在的位置: 给览网 » 供应 » 实验室常用设备 » 生物试剂 » 辰光实验室刺桐碱|487-58-1|Hypaphorine现货

辰光实验室刺桐碱|487-58-1|Hypaphorine现货

宝鸡市辰光生物科技有限公司
会员指数: 企业认证:  

价格:电议

所在地:陕西 宝鸡市

型号:

更新时间:2024-09-11

浏览次数:768

公司地址:宝鸡市金台区宝虢路8号

博文(女士) 业务 

产品简介

辰光实验室刺桐碱|487-58-1|Hypaphorine现货2021.12月实验室新品现货——辰光生物十四年中药对照品厂家

公司简介

 宝鸡市辰光生物科技有限公司是专业提供高纯度植物单体分离纯化工艺解决方案,高纯度天然植物单体对照品高效分离纯化研究、生产、服务型高科技企业。
    针对传统天然植物中主要活性成分的结构特点,公司成立了皂甙类、黄酮类、生物碱类等多个天然产物分离纯化实验室,专业化的分工提高了新品研发效率,为高品质产品提供了可靠的保证。    
    为有特殊需求的客户提供从指定植物中提取高纯度单体是我们的特色服务。可以提供符合中国药典(CP),美国药典(USP)和欧洲药典(EP) 要求的中药对照品或植物药对照品,按客户要求提供全套标定数据和鉴定,鉴别数据。能够实现毫克级至公斤级的高纯度植物单体快速分离纯化。    
    目前,公司与中科院生物研究中心,生物制品鉴定所,陕西省重点植物实验室等国内各大科研院校建立了长期的项目合作关系。在此合作优势上,公司以“专业、创新 诚信”迎接每一位客户为目标。
展开

产品说明

辰光实验室刺桐碱|487-58-1|Hypaphorine现货

2021.12月实验室新品现货——辰光生物十四年中药对照品厂家

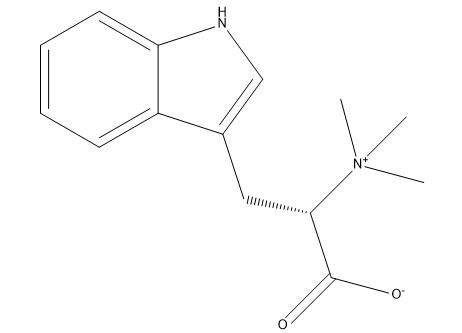
刺桐碱;云甘定

Hypaphorine    CAS 487-58-1      分子量:246.31     分子式:C14H18N2O2    
辰光实验室刺桐碱|487-58-1|Hypaphorine现货

纯       度:     HPLC98%
物理性状:     粉末
检测方法:     高效液相(HPLC)质谱(Mass) 核磁(NMR)
用      途:      仅供研究使用,不得用于医学诊断。
包      装:      20mg~1g 棕色玻璃瓶。
储存条件:     贮存在避光密闭容器中,冷藏或者冷冻长期保存。
样品溶液现配现用。如果特殊情况需要提前配制的话,最好分成独立包装冷冻保存(-20℃以下),临用前再取出解冻,通常可以保存2周。

植物来源
王不留行Semen Vaccariae

药理研究

  • 王不留行刺桐碱,并发现其在整体水平上具有抗炎活性。

参考文献

  • [1] 蔡维维 侯豹 陈旭红 孙海建 邱丽颖 王不留行中刺桐碱的分离鉴定及抗炎活性研究 《天然产物研究与开发》 CAS CSCD 北大核心  2018年第4期616-620,共5页Natural Product Research and Development

辰光实验室刺桐碱|487-58-1|Hypaphorine现货


本页产品地址:http://www.geilan.com/sell/show-9234483.html
免责声明:以上所展示的[ 辰光实验室刺桐碱|487-58-1|Hypaphorine现货]信息由会员[宝鸡市辰光生物科技有限公司]自行提供,内容的真实性、准确性和合法性由发布会员负责。
[给览网]对此不承担任何责任。
友情提醒:为规避购买风险,建议您在购买相关产品前务必确认供应商资质及产品质量!

发布询价单

您最近浏览过的产品

没有合适的产品?是否在线询价?
询价标题
联系人
电话
主要内容
验证码